How to Profile Pulsed Lasers with a Scanning Slit
Scanning slit profilers (such as Ophir’s NanoScan) boast several advantageous qualitites, such as the ability to measure high powers without attenuation, relatively inexpensive infrared compatibility, and more.
But whenever someone mentions pulsed beams, there’s always a pause. Well, what’s your pulse frequency? Beam width? What kind of accuracy are you looking for?
Why can’t I just get a straight answer? Does NanoScan work at (let’s say) 1 kHz or not? Who cares about the beam diameter? What does that have to do with this? Let’s take a step back and examine the inner workings of a scanning slit beam profiler, assuming for a moment that we’re working with a CW laser for simplicity.

As you can see in the above diagram, a scanning-slit profiler has a fairly complex design. Here’s how it works: Inside the head is a drum which spins at a 45° angle. This drum has two slits on it, one to measure each axis of the laser. At the core of the head there is a single detector element, which measures just the portion of the laser that the slit allows to pass.
The whole beam profiling process is done with one drum revolution in less than a second, but the profiler continues to operate (and the drum keeps spinning) to continue to profile your laser beam in real time.
Now, let’s return to our pulsed laser beam. Since the drum revolves at a given rate and the laser beam has a certain diameter, we can calculate the amount of time it takes the slit to move from one side of the laser beam diameter to the other. Let’s say we calculated this time to be 1 ms. In a CW beam, this means we’d measure the profile of the laser for 1 ms. But in a pulsed beam, we have to check how many pulses occur in that millisecond. The more pulses (i.e., the higher the laser pulse frequency) the more accurate our beam profile will be.

In the example sketched above, the laser pulses seven times as the slit traverses it. The beam profiler software connects the dots by looking at the peaks, and estimates the “CW profile.” As you can imagine, the more pulses in that profile, the better the software can estimate the real profile, giving a more accurate beam width result.
As a rule of thumb, the minimum number of pulses you need for one profile is about 8-10, while 15 pulses are required to achieve 2% accuracy.
Now for the calculation
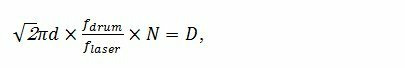
There’s one more caveat: if you want to calculate the slit speed directly from the drum speed, you need to account for the angle of rotation (45°). Therefore the actual speed of the slit across the laser beam is the drum speed divided by √2 .
The following equation takes laser pulse frequency and number of pulses per profile as given parameters to calculate the minimum laser beam diameter:

where d is the drum diameter, f is the frequency of the drum or laser, respectively, N is the number of pulses per profile, and D is the minimum allowed laser beam diameter.
This tutorial provides more information as well as a table to calculate the minimum laser beam diameter for any combination of drum size and speed at various laser pulse rates (from 1 kHz to 150 kHz).
NOTE: The NanoScan scanning slit profiler builds a laser profile in a single pass. Other scanning slit profilers require multiple passes, creating problems for beams that aren’t stable over time or that require active alignment. The NanoScan also automatically provides a warning to the user if a reduction in rotation speed is needed to ensure accurate results, for instance, if the laser is pulsing slowly. This means the NanoScan user doesn’t have to do any calculations to determine the correct slit drum rotation rate.